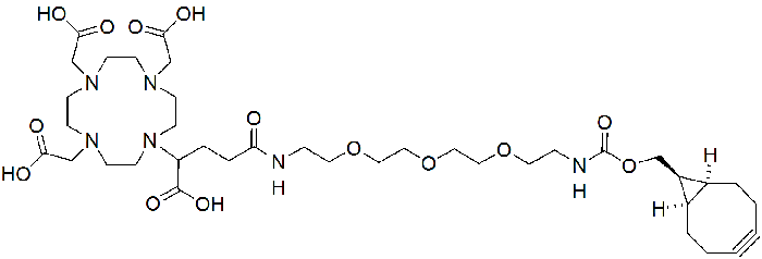
DOTA-GA-PEG3-BCN endo

DOTA-GA-PEG3-BCN can be used in radiopharmacy, targeted cancer therapy, and bioorthogonal chemistry, particularly in areas such as diagnostic imaging and personalized medicine.

BCN serves as a click chemistry handle that readily reacts with tetrazines and azides on a target molecule. DOTA-GA can chelate divalent and trivalent cations, e.g. Gallium

In stock
Catalogue
SC-3011
€550.00
More Information
Catalogue SC-3011
Formula C38H62N6O14
CAS --
MW 826,94
Appearance white powder
Purity > 97% (HPLC-UV λ=254nm)
Solubility Soluble in water
Size 10mg / 50mg
Storage Keep cool and dry. Protect from light and moisture. Store at - 20°C on arrival.

Possible applications of DOTA-GA-PEG3-BCN :

  • Radiopharmacy (Diagnostic Imaging): This substance could be used for PET imaging, where the DOTA-GA molecule is conjugated with a radioactive isotope (e.g., Gallium-68). This compound could then be used to locate tumors or other diseased tissues in the body.

  • Targeted Cancer Therapy: By utilizing BCN and bioorthogonal chemistry, DOTA-GA-PEG3-BCN could be employed in the development of targeted therapies. The substance could specifically bind to cancer cells and deliver a therapeutic agent (e.g., a radioactive isotope or a cytostatic drug) directly to them.

  • Bioorthogonal Chemistry: This compound could be used in the research and development of bioorthogonal markers and therapeutic systems, where DOTA-GA-PEG3-BCN reacts specifically with other bioorthogonal systems (e.g., tetrazine) to deliver markers or therapeutic molecules to specific target structures.