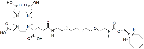
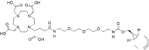
SCO / BCN

SCO / BCN

here you will find reagents with strained triple bonds that react with TETRAZINES (SPIEDAC) and AZIDES (SPAAC)

SPAAC: Strain-Promoted Alkyne-Azide Cycloaddition

SPIEDACStrain-Promoted Inverse Electron-demand Diels-Alder Cycloaddition

View as Grid List

Items 1-12 of 52

Set Descending Direction
Page
per page