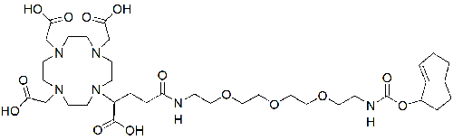
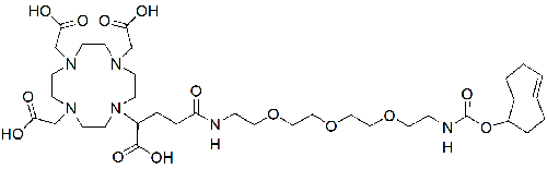
Click-Tools

you will find a large selection of tools with different length PEG-linkers or without linker. These are suitable for Click-Chemistry-reactions or for biotin- and fluorescence- labeling. list of PEG-tools you will find here

View as Grid List

Items 1-12 of 156

Set Descending Direction
Page
per page